BUUCTF 每日打卡 2021-5-7
引言
无
大数计算
题目描述: flag等于 wctf2020{Part1-Part2-Part3-Part4} 每一Part都为数的十六进制形式(不需要0x),并用 '-' 连接 Part1 = \(2020*2019*2018* \cdots *3*2*1\) 的前8位 Part2 = \(520^{1314} + 2333^{666}\) 的前8位 Part3 = 宇宙终极问题的答案 \(x,y,z\) 绝对值和的前8位 Part4 = 见图片附件,计算结果乘上\(1314\)
Part1
编写一个简单的代码: 1
2
3
4result = 1
for i in range(2020):
result *= (i+1)
print(result)1
386096951826724872377527755309254829575652833764136996704568320001962744375418996245016343070140495922821200614629613676056064037951380768693631095293969806083283419391122768593135371533669789505644746708636245286071667761717496505605794126236016354348784410240335472055757629538266448781423997420044753128592681490931155652500393981945786030349664533711594345568989302186320705026331591010701401806321162676014168267730443127229747356930582741007966787455099581158386524638372751639313267766129679555735375331455412649323831848690561911358863665291691253184884758093169216097558804246779418405854622335480512182276766264945125914275956103428084284556933827302002697216249895052496440541172520541257873419634034161103824199316296993063661010122247477806751684315159325496718242301326410047304634788457407629483612153384782033983257542806498117448100169850242485622135551834378243035590642352839055096183047501262709727667023809372071930180723811416036636750921242111077253225291490924545632327925057149716099795229733989622278323677405784299876565959582090676790727740307049077225508605566490968403536385735238912741726753153654163800192588170739101544001978507890178193666229850683801023093469605890012191345770905436000032556827322145416135640856057548854287333531160062595436210299154833029310707445362782649537335586073636441409352069691324058033881627521130303343921325446543099236423768017622330952822024309856222944411670467670029292434583401736238439303991700945727580238299750982559170548833139100553910689597287121942263594164151082680213395221663587816012606720015052645832622621471333102685422392447559330215438244237647008830170109515277728376740158127469507982306996887556451828368694363732003992198093879746125762368988032934128856143997941342867059780561839990632437177907064694382432079447096605996943877612866685823347086095028180222170710715928986388757360066746071573539728102642573049976996579847448174187164026466837941823296708220196587010386827277994485087677372620093957914089258169972214872563807439573846201771190457487767436383507920863265001158985530332683629614342467843804937221206800149726658420435494370022064907930073825842356140820286864504429150801511854514365890388184309207375633689423525046829286070427382305637485912596973375367419760345739950217980127302509287481854594278265427658981413690677647108075218848723615631183228998263867303745241836596694419145869217246024705077412378592333080136866437588005631900741990955327512376380828834010898865112109122200117679929527578871952101638590795253704401058529870302842722801768976320289167271902599225625767622305121280203492060037659871687735744553956446891872856397638184308752827275833141465241377237087280607247672227911921476510099466427100947464296939925307947903326972670620615266725024373992589830067802295068263706563543372266200657231075725406225813916087447037257516901879820294473007469699120258797394881069240769625444137446394025363698666039205630857709229029682411964627222481342313835400760000248298282014684789191216782161001313299389221096618273488723978734883910176473532912398103689047801184926163882078889516242948227926207222798398599415190198383379958023224921700008504785581886491831617089767423337158587605657695370924035915232465034278959481229277255278641922703818140279236081674495149412290836894544282115179683616118844191583046672479060000997496671880332878428953950612778358032083448023516233258828937364836898528863330898553728662430714476112310836556548819026772896916666672491022632933230082044594787660656479369609508622352899543941383995692550547567969679794689990261140429300073943357022253659335410345587776835600085239314982274092032142617241600285547606153599286848476863161163541783080974843391064827635422937416295803320652151693691769908939733927283127338535832997562295235291634892349205745118756949780889187123971284330764415768476973033998802916258114465575907763749305205635060986278491975514474464672254458806857234410272869494209351555904987662052843555593641077334735000243185871626166435489995567743531839402525319028777252590673740070657146817606781166399960411132861682002655514447098043836381875601009788125213646389121448684764478666800367960493084953255241805961090727464679546615218982157594620688546771982908471364789755878887707044374010944486692997646137003523014144478339200998768863760703237203498326237220307578035692438887844741169784356786186401985299971489879829923194004083856969480041497397289465262863214647978593940815429794201584815761969377077597754446250785589118819688309472535988847810731264852902520018791994847255177619133199103397784696304617128344478292442325121108591633318029061667864784808515527387560252024100796176430107903015131441779467272344895619105502295519265018507118428238756968370367729287885962903983789250413811180716741127223957387264111710541149510905192956624428207083391894030881029258437087456354854256388583861141432235437699695203894352189291895609764592583127247584093330090479305172063745326415499877435366649909958866611266850377258481988425964258871356114398124542854504460141256012894066714195604604296809443585918770552117029738264919661512180130075143844966812954224436082616963714987190523714733696955227936508156266340713059106114761487944040893851195897985233581632996731726844059926287692271399731200000000000000000000000000000000000000000000000000000000000000000000000000000000000000000000000000000000000000000000000000000000000000000000000000000000000000000000000000000000000000000000000000000000000000000000000000000000000000000000000000000000000000000000000000000000000000000000000000000000000000000000000000000000000000000000000000000000000000000000000000000000000000000000000000000000000000000000000000000000000000000000000000000000000000000000000000000000000000000000000000000000000000000000000
Part2
直接用 python 算:
结果为: 1
67358675073930576996073993722567461850164722807074564948878417317473402927052829127082792032180094796252395096433983198952274168335392450509538309593385666431514980590592716015855911289321506036686643999492477513757215924758776455044536037020140456863773999261918973328815695045710068615401644013371977309012103898412096306361548001024977583422217671458264501188363086490125698404411163875599250631472344791340890807258094473727320110195601853152755087240330894053335818131077110273175715028846928201286446627946414753140891422257217210657051018005119011231825729783206822743971574711110393874816976266354981853740848193017816398023462606903346766612687790408415070020255296249418676249807212441079026250983961692920652966680193496784706192692613628105543621116002202680144634223494461659625064734199269350540205779713480943543889927915919259683768965037082643370773459533965219810073840472443356812334913011267861631024583721439843313283632252393379630383299598523037929812133138807072044576906149490490113840653244256197362973674055842990181720796496141363505718393822270218527760700369994972831534842781472514105407807279417668179333578100464787815389196826955497201910672296944059409606029603730111157226386643599020499425611604798218989413785508164561159754542908177698601111851024642335136611527906723782867198103433350776510482418582828560882474001127337861205717439932975849518063393530401772837736924736914846285298676339811297353234924091794918188257309391813418599493372303068163108621417737278803530572213749972358034814384186787621021593911334049398408117962215128441151972529070470429717565266547734379348873150272523271822724131161260146953117253978239691913721988312421114234651848572209530437943447365774218261113652983590167268527243129712467973675150813885739222841289549709569689560918679552000804353102265587269536197104995365208113361238214793349376601709287320691962025569441318004962409752672175447871755400848907951316397028636550476284126600721896236978828578849024817047688627396567760215637844575781201340411713410901387415097150001810731644704906580463682092951091073376627966232966312329119203820184242415159480596553046863575499835934379905722318707119304564096837225570386337451111503621022869027771621941235105328508169429847297696160848087696110478698810948121137387936577551170478133221632051268190997414006106830275793171130669067945012054593847771690058584752626174521036167711725373472145872472987785584869677825221641781524433380680668092633822451335545271833203427482749996978964078435417941459565163307999239089382722108845684107513974453105597828187596947603390837292678451072673709372346741758978218449321284455510126397518967502185664874536990177693703924032798926123849737513057251304979953532246771553748100752530930394182885368167026727688409697271253702259642032797882327918994179815400383367337203215938064919399556687943521993823720750997305976057751840104981535895783291939176032118935838607493242555676289868798140683411268035331709077028634328818544056041101480762484035614265528718720132396302035616727694893643384384202696363883821952117653841426152212136741932330060968422184519178149199302895488289650118600183818496708016481413704242955462575482947926185049572277249034187278692428277207506362256097428904426717710977347411241809884859683037796946927621459794307572757322054131305574740424632144992602305052743261521941792148633841874961055208272462900770503933839068194426250247291864679430728943202539192872303333804358392481348403129810207376835075575297015491422237138339359562906817960418892175230875862569
Part3
宇宙终极问题:求 \(x,y,z\) 满足方程 \(x^{3} + y^{3} + z^{3} = 42\) (别看知乎,里面答案都是错的,不过提供了 42 和 丢番图方程两个线索) 参考文章:https://www.theregister.com/2019/09/07/three_cubes_problem/ 可知 \[
\begin{cases}
x = -80538738812075974\\
y = 80435758145817515\\
z = 12602123297335631\\
\end{cases}
\] 分别取绝对值相加: 
结果为:173576620255229120 Part3:17357662 转十六进制:108DB5E
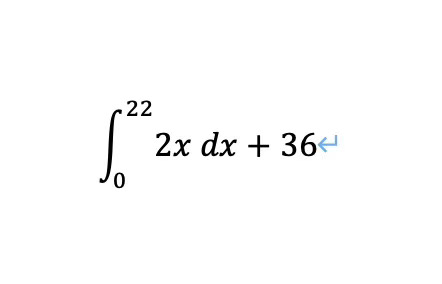
Part4
先计算下面的定积分:
当然可以手算: \[
\mathop{ \int }\nolimits_0^222x \text{d} x + 36 = x^{2} |^{22}_{0} + 36 = 520
\] 或者可以用 SageMath:
计算结果:
Part4:683280 转十六进制:A6D10
最终得到 flag:wctf2020{24d231f-403cfd3-108db5e-a6d10}
结语
希望继续坚持